1. 蘑菇影视在线观看,蘑菇视频在线观看免费网站,蘑菇视频APP下载汅APP,蘑菇视频APP官方黄

        您好!欢迎光临 蘑菇影视在线观看电气(中国)有限公司

        MDS51系列智能V锥流量计

        Madshen蘑菇影视在线观看智能V锥流量传感器改变传统的流体向中心收缩而压损大的缺点,而是轴对称的边壁收缩方式下的逐渐收缩和逐渐扩散。这是一次节流装置的节流、收缩的全新变革,在节流装置结构设计上是一次重大的突
        产品简介

         

        Madshen蘑菇影视在线观看 V锥流量传感器改变传统的流体向中心收缩而压损大的缺点,而是轴对称的边壁收缩方式下的逐渐收缩和逐渐扩散。这是一次节流装置的节流、收缩的全新变革,在节流装置结构设计上是一次重大的突破。不仅解决了老式差压流量计所存在的技术缺陷,而且具有其他测量原理的流量传感器计所不具备的优点。

         

        V形锥体和导流管是预先经过精密加工好的,流体在流经V锥体时,V锥体的结构和形状使得流体在收缩前有一个平滑的过度区,流体并不是被迫收缩到管道中心线附近,而是逐渐朝向管内边壁收缩,在前后两端会产生差压,配上相应的差压变送器和附件(三组阀、取压阀等)组成V锥流量计,从而测量出流量。

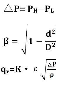
        流量公式:

        其中:

        —等效直径比

        ρ—流体工况条件下的密度

        D—管道内径

        K—K系数(与节流件形式(流束收缩系数)直径比,取压方式,雷诺数及管道粗糙度有关

        d—V锥节流件的最大横截面处的直径

        qv—体积流量

        ε—气体膨胀系数(对于不可压缩液体ε=1)

         

        1、公称通径:DN15~DN2000

        2、公称压力:0~40MPa

        3、精度:准确度等级为0.5%(差压变送器的准确度应高于0.2级,含0.2级)

        4、重复性:优于0.1%

        5、介质温度范围:可以实现-40~700℃的介质的流量测量

        6、量程比通常为10:1

        7、压损小:同样的β值,永久压力损失是孔板压力损失的1/3~1/5

        8、测量流体:几乎适用于所用蒸汽、气体、液体介质的测量

        9、前后直管段:3D(前),1D(后),方管V锥流量计无需前后直管段

        11、结构材料材质:

         部件名称 材质
        测量管和法兰304不锈钢、20#碳钢、其他
        V锥体和连接附件304不锈钢,
        取压口304不锈钢
        三阀组(附件、可选)304不锈钢
        引压管(附件、可选)304不锈钢
        冷凝罐(附件、可选)304不锈钢
        排污阀(附件、可选)304不锈钢

         

         部件名称 材质
        测量管和法兰304不锈钢、20#碳钢、其他
        V锥体和连接附件304不锈钢,
        取压口304不锈钢
        三阀组(附件、可选)304不锈钢
        引压管(附件、可选)304不锈钢
        冷凝罐(附件、可选)304不锈钢
        排污阀(附件、可选)304不锈钢

        12、外表涂层: 

         传感器测量管材质 外表涂层
        全不锈钢304喷不锈钢砂
        测量管为碳钢银灰色环氧树脂漆

        13、防爆等级(差压变送器):隔爆、本安、不防爆可供选择(差压变送器

        14、供电电源(差压变送器):12~24VDC,

        15、输出信号(差压变送器):4~20mA或HART协议

        16、显示及输出:

        差压变送器现场显示
        配多参数变送器瞬时流量 累积流量
        差压变送器与差压范围相对应的差压值

         

         MDS51  V锥流量传感器选型表

         

        MDS 51

        V锥流量传感器

        过程连接

        A

        法兰式

        B

        直接焊接式

        C

        方管式

        D

        其它形式,订货时说明

        传感器口径

        15

        DN15

        25

        DN25

        50

        DN50

        65

        DN65

        80

        DN80

        100

        DN100

        —

        ——

        材       质

        A

        整体304

        B

        管道,法兰为碳钢,锥体为304.

        C

        整体316

        D

        其它材质

        额定压力

        6

        额定压力0.6MPa

        10

        额定压力1.0MPa

        16

        额定压力1.6MPa

        25

        额定压力2.5MPa

        40

        额定压力4.0MPa

        —

        ——

        420

        额定压力42MPa

        取压口形式

        S

        承插口

        G

        锥管螺纹1/2”NPT或ZG1/2”

        F

        法兰取压

        R

        其它

        密封面形式

        RF

        突面密封

        MF

        凹凸面密封

        TG

        榫槽面密封

        RJ

        环连接面密封

        Q

        其它方法

        连接附件

        C

        常温

        H

        高温

        W

        赃污

        Z

        其它

        法兰标准

        GB

        国标

        HG

        化工部标准

        JB

        原机械部标准

        ASME

        美标

        Q

        其它标准

         

        浏览:
        相关内容:
        上一篇:
        下一篇:MDS51系列智能V锥流量计
        返回顶部

        分享到:

        网站地图